某工程有A.B.C.D.E五项工作,其逻辑关系为A.B.C完成后D开始,C完成后E才能开始。则据此绘制的双代号网络图是( )。
2022-02-02 07:50 阳江人事考试网 来源:广东华图教育
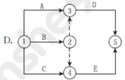
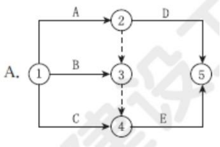
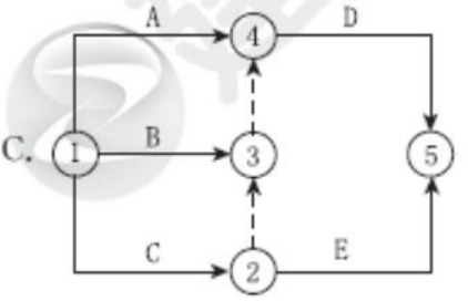
单选题某工程有A.B.C.D.E五项工作,其逻辑关系为A.B.C完成后D开始,C完成后E才能开始。则据此绘制的双代号网络图是( )。
A.
B.
C.
D.
参考答案:C
[华图教育答案解析]:本题考查的是双代号网络计划。A.B.C都是D的紧前工作,C是E的紧前工作,D.E之间是没有逻辑关系的。故选择选项C。
以上是关于某工程有A.B.C.D.E五项工作,其逻辑关系为A.B.C完成后D开始,C完成后E才能开始。则据此绘制的双代号网络图是( )。的参考答案及解析。详细信息你可以登陆阳江公务员考试网。如有疑问,欢迎向华图教育企业知道提问。点击咨询>>>
特别说明:华图题库系统旨在为考生提供高效的智能备考服务,全面覆盖公务员考试、事业单位、教师招聘、职业资格、医卫类、计算机类等领域。拥有优质丰富的学习资料和备考全阶段的高效服务,助您不断前行!关注广东华图教育微信gdhtgwy,政策问题实时答,考试信息不漏看。
华图题库平台所收集的试题内容来源于互联网,仅供学习交流使用,不构成商业目的。版权归原作者所有,如涉及作品内容、版权和其它问题,请与我们取得联系,我们将在第一时间处理,维护您的合法权益。
(编辑:阳江华图)


